1. Subtract. Write your answer in lowest terms.
![]()
![]()
2. Covert 0.2% to a fraction. Write your answer in lowest terms.
![]()
3. Find the square root of
.
![]()
4. In a school with 350 students, three-sevenths of the students are boys. How many boys attend the school?
A. 110
B. 125
C. 140
D. 150
E. 175
5. Multiply. Write your answer in lowest terms.
![]()
![]()
6. Add. Write your answer in lowest terms.
![]()
![]()
7. Put the following fractions in order from least to greatest.
![]()

8. Subtract. Write your answer in lowest terms.
![]()
![]()
9. Beth walked
of a mile yesterday and
miles today. How far did she walk in total?

10. Divide. Write your answer in lowest terms.
![]()
![]()
Answer Key
1. B. First rewrite the fractions with a common denominator. The least common multiple of 5 and 3 is 15, so multiply the numerator and denominator of the each fraction to make the denominators 15.
![]()
Now, since the resulting fractions have a common denominator, subtract them by subtracting their numerators and put the result over 15.
![]()
2. A. To convert a percentage to a fraction, remove the percent sign and put the number over 100.
![]()
The result is a fraction with a decimal. To remove the decimal, multiply the numerator and denominator by 5.
![]()
3. C. Calculate the square root of the numerator and denominator. Since 72 = 49 and 122 = 144, the square root is
.
4. D. In a problem like this, the word “of” means multiplication. The problem states that three-sevenths of the 350 students are boys, so multiply three-sevenths by 350. Then simplify the result.

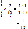
5. A. Before multiplying the fractions cancel any common factors that appear in the numerator of one fraction and the denominator of another. This ensures that the result will already be a fraction in lowest terms.

Now, multiply the fractions. The product will be a fraction whose numerator is the product of the numerators and whose denominator is the product of the denominators.

6. D. First rewrite the fractions with a common denominator. The least common multiple of 8, 3, and 6 is 24, so multiply the numerator and denominator of the each fraction to make the each of the denominators 24.
![]()
Finally, since the resulting fractions have a common denominator, add them by adding their numerators and put the result over 24.
![]()
7. B. First rewrite the fractions with a common denominator. The least common multiple of 8, 18, 12, and 9 is 72, so multiply the numerator and denominator of the each fraction to make the denominators 72.
![]()
Now put the new list in order from least to greatest by comparing the numerators, and change the fractions back to their original forms.
![]()
8. C. First rewrite the fractions with a common denominator. The least common multiple of 4 and 12 is 12, so multiply the numerator and denominator of the first fraction to make the denominator 12.
![]()
The fraction of the second mixed number is larger than the one in the first mixed number. Therefore, you need to “borrow” one from the 8 in the first number and rewrite it as
.
![]()
Now subtract the whole numbers and fractions.
![]()
Finally, simplify the result.
![]()
9. B. To find the total distance she walked, add the fractions.
![]()
First rewrite the fractions with a common denominator. The least common multiple of 4 and 2 is 4, so multiply the numerator and denominator of the second fraction to make the denominator 4.
![]()
Now, add the whole numbers and fractions.
![]()
The result is not a correct mixed number because
is greater than one. To fix this, subtract any whole numbers from the fractional part and add it to the whole number part.

Therefore, Beth walked a total of
miles.
10. D. To divide by a fraction, first invert the divisor by switching the numerator and denominator.
![]()
Before multiplying the fraction, cancel any common factors that appear in the numerator of one fraction and the denominator of another. This ensures that the result will already be a fraction in lowest terms.

Now, multiply the fractions. The product will be a fraction whose numerator is the product of the numerators and whose denominator is the product of the denominators.
